need it within 3 hours
CHAPTER 4
Interest Rates
Practice Questions
Problem 4.1.
A bank quotes you an interest rate of 14% per annum with quarterly compounding. What is the equivalent rate with (a) continuous compounding and (b) annual compounding?
The rate with continuous compounding is
or 13.76% per annum.
The rate with annual compounding is
or 14.75% per annum.
Problem 4.2.
What is meant by LIBOR and LIBID. Which is higher?
LIBOR is the London InterBank Offered Rate. It is calculated daily by the British Bankers Association and is the rate a AA-rated bank requires on deposits it places with other banks. LIBID is the London InterBank Bid rate. It is the rate a bank is prepared to pay on deposits from other AA-rated banks. LIBOR is greater than LIBID.
Problem 4.3.
The six-month and one-year zero rates are both 10% per annum. For a bond that has a life of 18 months and pays a coupon of 8% per annum (with semiannual payments and one having just been made), the yield is 10.4% per annum. What is the bond’s price? What is the 18-month zero rate? All rates are quoted with semiannual compounding.
Suppose the bond has a face value of $100. Its price is obtained by discounting the cash flows at 10.4%. The price is
![]()
If the 18-month zero rate is, we must have
![]()
which gives %.
Problem 4.4.
An investor receives $1,100 in one year in return for an investment of $1,000 now. Calculate the percentage return per annum with a) annual compounding, b) semiannual compounding, c) monthly compounding and d) continuous compounding.
With annual compounding the return is
or 10% per annum.
With semi-annual compounding the return is
where
i.e.,
so that. The percentage return is therefore 9.76% per annum.
With monthly compounding the return is
where
i.e.
so that . The percentage return is therefore 9.57% per annum.
With continuous compounding the return is
where:
i.e.,
so that. The percentage return is therefore 9.53% per annum.
Problem 4.5.
Suppose that zero interest rates with continuous compounding are as follows:
| Maturity (months) | Rate (% per annum) |
| 8.0 | |
| 8.2 | |
| 8.4 | |
| 12 | 8.5 |
| 15 | 8.6 |
| 18 | 8.7 |
Calculate forward interest rates for the second, third, fourth, fifth, and sixth quarters.
The forward rates with continuous compounding are as follows to
| Qtr 2 | 8.4% |
| Qtr 3 | 8.8% |
| Qtr 4 | 8.8% |
| Qtr 5 | 9.0% |
| Qtr 6 | 9.2% |
Problem 4.6.
Assuming that zero rates are as in Problem 4.5, what is the value of an FRA that enables the holder to earn 9.5% for a three-month period starting in one year on a principal of $1,000,000? The interest rate is expressed with quarterly compounding.
The forward rate is 9.0% with continuous compounding or 9.102% with quarterly compounding. From equation (4.9), the value of the FRA is therefore
![]()
or $893.56.
Problem 4.7.
The term structure of interest rates is upward sloping. Put the following in order of magnitude:
The five-year zero rate
The yield on a five-year coupon-bearing bond
The forward rate corresponding to the period between 4.75 and
years in the future
What is the answer to this question when the term structure of interest rates is downward sloping?
When the term structure is upward sloping, . When it is downward sloping,
.
Problem 4.8.
What does duration tell you about the sensitivity of a bond portfolio to interest rates? What are the limitations of the duration measure?
Duration provides information about the effect of a small parallel shift in the yield curve on the value of a bond portfolio. The percentage decrease in the value of the portfolio equals the duration of the portfolio multiplied by the amount by which interest rates are increased in the small parallel shift. The duration measure has the following limitation. It applies only to parallel shifts in the yield curve that are small.
Problem 4.9.
What rate of interest with continuous compounding is equivalent to 15% per annum with monthly compounding?
The rate of interest is where:
i.e.,
The rate of interest is therefore 14.91% per annum.
Problem 4.10.
A deposit account pays 12% per annum with continuous compounding, but interest is actually paid quarterly. How much interest will be paid each quarter on a $10,000 deposit?
The equivalent rate of interest with quarterly compounding is where
or
The amount of interest paid each quarter is therefore:
or $304.55.
Problem 4.11.
Suppose that 6-month, 12-month, 18-month, 24-month, and 30-month zero rates are 4%, 4.2%, 4.4%, 4.6%, and 4.8% per annum with continuous compounding respectively. Estimate the cash price of a bond with a face value of 100 that will mature in 30 months and pays a coupon of 4% per annum semiannually.
The bond pays $2 in 6, 12, 18, and 24 months, and $102 in 30 months. The cash price is
![]()
Problem 4.12.
A three-year bond provides a coupon of 8% semiannually and has a cash price of 104. What is the bond’s yield?
The bond pays $4 in 6, 12, 18, 24, and 30 months, and $104 in 36 months. The bond yield is the value of that solves
![]()
Using the Solver or Goal Seek tool in Excel or 6.407%.
Problem 4.13.
Suppose that the 6-month, 12-month, 18-month, and 24-month zero rates are 5%, 6%, 6.5%, and 7% respectively. What is the two-year par yield?
Using the notation in the text, ,
. Also
![]()
The formula in the text gives the par yield as
![]()
To verify that this is correct we calculate the value of a bond that pays a coupon of 7.072% per year (that is 3.5365 every six months). The value is
![]()
verifying that 7.072% is the par yield.
Problem 4.14.
Suppose that zero interest rates with continuous compounding are as follows:
| Maturity( years) | Rate (% per annum) |
| 1 | 2.0 |
| 2 | 3.0 |
| 3 | 3.7 |
| 4 | 4.2 |
| 5 | 4.5 |
Calculate forward interest rates for the second, third, fourth, and fifth years.
The forward rates with continuous compounding are as follows:
Year 2: 4.0%
Year 3: 5.1%
Year 4: 5.7%
Year 5: 5.7%
Problem 4.15.
Use the rates in Problem 4.14 to value an FRA where you will pay 5% for the third year on $1 million.
The forward rate is 5.1% with continuous compounding or with annual compounding. The 3-year interest rate is 3.7% with continuous compounding. From equation (4.10), the value of the FRA is therefore
![]()
or $2,078.85.
Problem 4.16.
A 10-year, 8% coupon bond currently sells for $90. A 10-year, 4% coupon bond currently sells for $80. What is the 10-year zero rate? (Hint: Consider taking a long position in two of the 4% coupon bonds and a short position in one of the 8% coupon bonds.)
Taking a long position in two of the 4% coupon bonds and a short position in one of the 8% coupon bonds leads to the following cash flows
because the coupons cancel out. $100 in 10 years time is equivalent to $70 today. The 10-year rate,, (continuously compounded) is therefore given by
The rate is
or 3.57% per annum.
Problem 4.17.
Explain carefully why liquidity preference theory is consistent with the observation that the term structure of interest rates tends to be upward sloping more often than it is downward sloping.
If long-term rates were simply a reflection of expected future short-term rates, we would expect the term structure to be downward sloping as often as it is upward sloping. (This is based on the assumption that half of the time investors expect rates to increase and half of the time investors expect rates to decrease). Liquidity preference theory argues that long term rates are high relative to expected future short-term rates. This means that the term structure should be upward sloping more often than it is downward sloping.
Problem 4.18.
“When the zero curve is upward sloping, the zero rate for a particular maturity is greater than the par yield for that maturity. When the zero curve is downward sloping, the reverse is true.” Explain why this is so.
The par yield is the yield on a coupon-bearing bond. The zero rate is the yield on a zero-coupon bond. When the yield curve is upward sloping, the yield on an -year coupon-bearing bond is less than the yield on an
-year zero-coupon bond. This is because the coupons are discounted at a lower rate than the
-year rate and drag the yield down below this rate. Similarly, when the yield curve is downward sloping, the yield on an
-year coupon bearing bond is higher than the yield on an
-year zero-coupon bond.
Problem 4.19.
Why are U.S. Treasury rates significantly lower than other rates that are close to risk free?
There are three reasons (see Business Snapshot 4.1).
Treasury bills and Treasury bonds must be purchased by financial institutions to fulfill a variety of regulatory requirements. This increases demand for these Treasury instruments driving the price up and the yield down.
The amount of capital a bank is required to hold to support an investment in Treasury bills and bonds is substantially smaller than the capital required to support a similar investment in other very-low-risk instruments.
In the United States, Treasury instruments are given a favorable tax treatment compared with most other fixed-income investments because they are not taxed at the state level.
Problem 4.20.
Why does a loan in the repo market involve very little credit risk?
A repo is a contract where an investment dealer who owns securities agrees to sell them to another company now and buy them back later at a slightly higher price. The other company is providing a loan to the investment dealer. This loan involves very little credit risk. If the borrower does not honor the agreement, the lending company simply keeps the securities. If the lending company does not keep to its side of the agreement, the original owner of the securities keeps the cash.
Problem 4.21.
Explain why an FRA is equivalent to the exchange of a floating rate of interest for a fixed rate of interest?
A FRA is an agreement that a certain specified interest rate, , will apply to a certain principal,
, for a certain specified future time period. Suppose that the rate observed in the market for the future time period at the beginning of the time period proves to be
. If the FRA is an agreement that
will apply when the principal is invested, the holder of the FRA can borrow the principal at
and then invest it at
. The net cash flow at the end of the period is then an inflow of
and an outflow of
. If the FRA is an agreement that
will apply when the principal is borrowed, the holder of the FRA can invest the borrowed principal at
. The net cash flow at the end of the period is then an inflow of
and an outflow of
. In either case we see that the FRA involves the exchange of a fixed rate of interest on the principal of
for a floating rate of interest on the principal.
Problem 4.22.
A five-year bond with a yield of 11% (continuously compounded) pays an 8% coupon at the end of each year.
What is the bond’s price?
What is the bond’s duration?
Use the duration to calculate the effect on the bond’s price of a 0.2% decrease in its yield.
Recalculate the bond’s price on the basis of a 10.8% per annum yield and verify that the result is in agreement with your answer to (c).
The bond’s price is
![]()
The bond’s duration is
![]()
Since, with the notation in the chapter
the effect on the bond’s price of a 0.2% decrease in its yield is
The bond’s price should increase from 86.80 to 87.54.
With a 10.8% yield the bond’s price is
![]()
This is consistent with the answer in (c).
Problem 4.23.
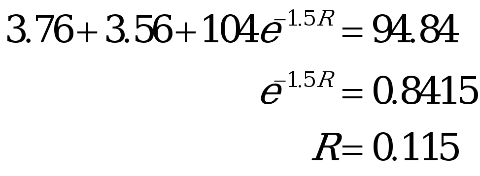
The cash prices of six-month and one-year Treasury bills are 94.0 and 89.0. A 1.5-year bond that will pay coupons of $4 every six months currently sells for $94.84. A two-year bond that will pay coupons of $5 every six months currently sells for $97.12. Calculate the six-month, one-year, 1.5-year, and two-year zero rates.
The 6-month Treasury bill provides a return of in six months. This is
per annum with semiannual compounding or
per annum with continuous compounding. The 12-month rate is
with annual compounding or
with continuous compounding.
For the 1 year bond we must have
![]()
where is the 1
year zero rate. It follows that

or 11.5%. For the 2-year bond we must have
![]()
where is the 2-year zero rate. It follows that
or 11.3%.
Problem 4.24.
“An interest rate swap where six-month LIBOR is exchanged for a fixed rate 5% on a principal of $100 million for five years is a portfolio of nine FRAs.” Explain this statement.
Each exchange of payments is an FRA where interest at 5% is exchanged for interest at LIBOR on a principal of $100 million. Interest rate swaps are discussed further in Chapter 7.
Further Questions
Problem 4.25 (Excel file)
A five-year bond provides a coupon of 5% per annum payable semiannually. Its price is 104. What is the bond's yield? You may find Excel's Solver useful.
The answer (with continuous compounding) is 4.07%
Problem 4.26 (Excel file)
Suppose that LIBOR rates for maturities of one month, two months, three months, four months, five months and six months are 2.6%, 2.9%, 3.1%, 3.2%, 3.25%, and 3.3% with continuous compounding. What are the forward rates for future one month periods?
The forward rates for the second, third, fourth, fifth and sixth months are (see spreadsheet) 3.2%, 3.5%, 3.5%, 3.45%, 3.55%, respectively with continuous compounding.
Problem 4.27.
A bank can borrow or lend at LIBOR. The two-month LIBOR rate is 0.28% per annum with continuous compounding. Assuming that interest rates cannot be negative, what is the arbitrage opportunity if the three-month LIBOR rate is 0.1% per year with continuous compounding? How low can the three-month LIBOR rate become without an arbitrage opportunity being created?
The forward rate for the third month is 0.001×3 − 0.0028×2 = − 0.0026 or − 0.26%. If we assume that the rate for the third month will not be negative we can borrow for three months, lend for two months and lend at the market rate for the third month. The lowest level for the three-month rate that does not permit this arbitrage is 0.0028×2/3 = 0.001867 or 0.1867%.
Problem 4.28
A bank can borrow or lend at LIBOR. Suppose that the six-month rate is 5% and the nine-month rate is 6%. The rate that can be locked in for the period between six months and nine months using an FRA is 7%. What arbitrage opportunities are open to the bank? All rates are continuously compounded.
The forward rate is
![]()
or 8%. The FRA rate is 7%. A profit can therefore be made by borrowing for six months at 5%, entering into an FRA to borrow for the period between 6 and 9 months for 7% and lending for nine months at 6%.
Problem 4.29.
An interest rate is quoted as 5% per annum with semiannual compounding. What is the equivalent rate with (a) annual compounding, (b) monthly compounding, and (c) continuous compounding?
With annual compounding the rate is
or 5.0625%
With monthly compounding the rate is
or 4.949%.
With continuous compounding the rate is
or 4.939%.
Problem 4.30.
The 6-month, 12-month. 18-month, and 24-month zero rates are 4%, 4.5%, 4.75%, and 5% with semiannual compounding.
What are the rates with continuous compounding?
What is the forward rate for the six-month period beginning in 18 months
What is the value of an FRA that promises to pay you 6% (compounded semiannually) on a principal of $1 million for the six-month period starting in 18 months?
With continuous compounding the 6-month rate is
or 3.961%. The 12-month rate is
or 4.4501%. The 18-month rate is
or 4.6945%. The 24-month rate is
or 4.9385%.
The forward rate (expressed with continuous compounding) is from equation (4.5)
or 5.6707%. When expressed with semiannual compounding this is or 5.7518%.
The value of an FRA that promises to pay 6% for the six month period starting in 18 months is from equation (4.9)
![]()
or $1,124.
Problem 4.31.
What is the two-year par yield when the zero rates are as in Problem 4.30? What is the yield on a two-year bond that pays a coupon equal to the par yield?
The value, of an annuity paying off $1 every six months is
![]()
The present value of $1 received in two years,, is
. From the formula in Section 4.4 the par yield is
![]()
or 4.983%. By definition this is also the yield on a two-year bond that pays a coupon equal to the par yield.
Problem 4.32.
The following table gives the prices of bonds
| Bond Principal ($) | Time to Maturity (yrs) | Annual Coupon ($)* | Bond Price ($) |
| 100 | 0.5 | 0.0 | 98 |
| 100 | 1.0 | 0.0 | 95 |
| 100 | 1.5 | 6.2 | 101 |
| 100 | 2.0 | 8.0 | 104 |
*Half the stated coupon is paid every six months
Calculate zero rates for maturities of 6 months, 12 months, 18 months, and 24 months.
What are the forward rates for the periods: 6 months to 12 months, 12 months to 18 months, 18 months to 24 months?
What are the 6-month, 12-month, 18-month, and 24-month par yields for bonds that provide semiannual coupon payments?
Estimate the price and yield of a two-year bond providing a semiannual coupon of 7% per annum.
The zero rate for a maturity of six months, expressed with continuous compounding is
. The zero rate for a maturity of one year, expressed with continuous compounding is
. The 1.5-year rate is
where
![]()
The solution to this equation is. The 2.0-year rate is
where
![]()
The solution to this equation is. These results are shown in the table below
| Maturity (yrs) | Zero Rate (%) | Forward Rate (%) | Par Yield (s.a.%) | Par yield (c.c %) |
| 0.5 | 4.0405 | 4.0405 | 4.0816 | 4.0405 |
| 1.0 | 5.1293 | 6.2181 | 5.1813 | 5.1154 |
| 1.5 | 5.4429 | 6.0700 | 5.4986 | 5.4244 |
| 2.0 | 5.8085 | 6.9054 | 5.8620 | 5.7778 |
The continuously compounded forward rates calculated using equation (4.5) are shown in the third column of the table
The par yield, expressed with semiannual compounding, can be calculated from the formula in Section 4.4. It is shown in the fourth column of the table. In the fifth column of the table it is converted to continuous compounding
The price of the bond is
![]()
The yield on the bond, satisfies
![]()
The solution to this equation is. The bond yield is therefore 5.7723%.
Problem 4.33.
Portfolio A consists of a one-year zero-coupon bond with a face value of $2,000 and a 10-year zero-coupon bond with a face value of $6,000. Portfolio B consists of a 5.95-year zero-coupon bond with a face value of $5,000. The current yield on all bonds is 10% per annum.
Show that both portfolios have the same duration.
Show that the percentage changes in the values of the two portfolios for a 0.1% per annum increase in yields are the same.
What are the percentage changes in the values of the two portfolios for a 5% per annum increase in yields?
The duration of Portfolio A is
![]()
Since this is also the duration of Portfolio B, the two portfolios do have the same duration.
The value of Portfolio A is
![]()
When yields increase by 10 basis points its value becomes
![]()
The percentage decrease in value is
The value of Portfolio B is
When yields increase by 10 basis points its value becomes
The percentage decrease in value is
The percentage changes in the values of the two portfolios for a 10 basis point increase in yields are therefore the same.
When yields increase by 5% the value of Portfolio A becomes
![]()
and the value of Portfolio B becomes
The percentage reductions in the values of the two portfolios are:

Since the percentage decline in value of Portfolio A is less than that of Portfolio B, Portfolio A has a greater convexity.