Good Day!!i have final project on CIB 3103 - Object Oriented Analysis and Designi have chosse cinema booking systemplease see the attached files (Project template and Sample project)
HIGHER COLLEGES OF TECHNOLOGY
Student Name (Student ID)
Teacher Name:
Table of Contents
1.Analysis of the system requirements for a business problem: 3
1.1 Introduction of the Problem Definition 3
1.2 Description of System Development Life Cycles used in project 5
1.3Description of Fact-Finding Techniques used in requirement gathering process 7
1.4 List of User Requirements 8
2.Functional and Behavioral Model of the business system: 9
2.1 Create use case diagram of the system 11
2.2 Write use case description for use cases 13
2.3 Create activity diagram of the system 14
2.4 Create behavioral model of the system 15
3.Design of the business system: 17
3.1 Design user interface screens for all components of the system 17
3.2 Design relational database model for all components of the project 25
4.Structural Model of the business system 32
4.1 Create Class diagram of the system for all components of the system 33
4.2 Create Object diagram of the system covering all components of the system 33
References 34
Appendix 1: Fact-finding tools 37
- Analysis of the system requirements for a business problem:
1.1.2 Description of the problem statement Cinema Akil faces a myriad of challenges pertaining how to enable its customers to make a timely booking of cinemas. This results in unnecessary queues made by movie lovers just to make sure they do not miss a new movie at the cinema halls. This usually discourages many movie fans leading to many just resorting not to watch or just stay at home. Again, the company finds it hard to alert its wide base of fans instantaneously whenever a new movie is out. They have to go to media outlets in order to publicize the new movies. 1.1.3 Description of proposed solution The specific objective of the proposed system is to implement an automated cinema booking system in UAE that allows movie fans to book cinema tickets online. The system can be used to book for cinema tickets online from anywhere as long as there is internet access in that area. The proposed solution is suitable for UAE because of availability of internet connectivity in many parts of the region. The benefits of the system over the current system are that it is easy and simple to setup, it is possible to send an email and push notifications, it helps the cinema company to grow by allowing movie fans to book for tickets online as it operates through the clock.
After product development, the following stage is to examine it and try it to start operating. This occurs in the implementation phase. In view of the fact that RAD can be used in developing a new application, it is not necessary to run analogous renovation. Therefore, implementation is conducted through direct renovation (Pedrycz, 2013).

Source (Valacich, George & Hoffer, 2015)
- Description of Fact-Finding Techniques used in requirement gathering process
1.4 List of User Requirements
List of functional requirements
List of non-functional requirements
List of Usability requirements
The usability requirements include understandability, learnability, operability, and attractiveness (Dennis, Wixom & Tegarden, 2015). As for the understandability, the interface elements such as menus must be simple to the user. Additionally, there must be clarity in the functionality of the system to ensure ease at purchasing the system. Pertaining learnability, client documents and guides must be inclusive; the user manuals ought to be context susceptible and elaborate how common tasks could be achieved; and users should interact with the system at ease (Ormeño, Panach, Condori-Fern & Pastor, 2013). According to Steel, Drogemuller & Toth (2012), operability requires consistency in elements and actions, error recovery must be elaborate, there should be undone options, in cases where there are no undo-options the system should ensure the client wants to perform the action, the system should be wired to the users' needs, and a user manual should be available. For the attractiveness, color and screen layout ought to be alluring.
- Functional and Behavioral Model of the business system:
Behavioral models describe the internal behavior of a system while functional models are logical; that is autonomous of how they are implemented, computerized or manual (Valacich et al., 2015). Firstly, there is Use-case, which shows how a system relates to its environment. It includes a diagram and a description to portray the distinct activities that the users execute. From the Use-case, an activity diagram can be developed. The activity diagram models the business processes and the procedure in which the business operates. It is used to exemplify the movement of data between activities. In addition, there are sequence diagrams that illustrate information flow around the system. This enables the designer to validate information ensuring it suits the needs of the user (Zhu, Luo, Chen & Wu, 2012). In dynamic modeling, sequence diagrams ought to be vital as they help establish workability of the system. There are other dynamic modeling systems such as communication diagramming, timing diagramming, and interaction overview diagramming.
Use-Case diagram Source (Author)
Use-Case diagram 2 Source (Author) 2.2 Write use case description for use cases The three main use cases in this project are actors, associations and subject boundaries (Rosenblatt, 2013). The actors in the project include the administrator, visitor and member who have different access levels to the system. The primary actor in this project is the administrator. The secondary actors are visitor and member. The associations show that the administrator can log in, manage movies, manage screen and even manage payments. In addition, the subject boundary here depicts the scopes of various components of the cinema booking system for example login, managing payments among other functionalities. The administrator can perform various activities such as logging in the system, managing movies, and managing payments. A visitor to the system can view movie information and view all details of movies. A member can register, login, view movie information, view screen, check movie availability, book a ticket, cancel a ticket, make payments, and log out.
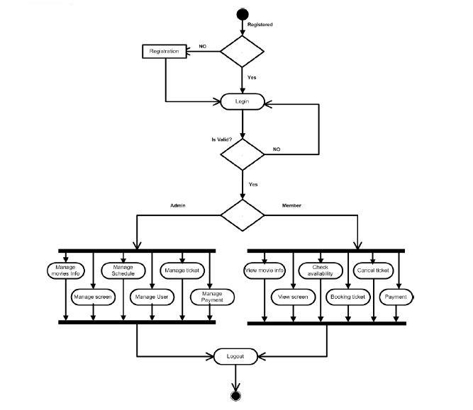
Activity diagram Source (Author)
- Member
- Member
- Design of the business system:
(ii)Change password
(iii)Movie search

(iv) Showing unavailability of tickets

(v) Checking for ticket availability

(vi) Ticket booking

- Administrator



| Screen Control | Use case ID | UI screen No | Reason to use specific screen control |
| Dialogue box | Member | F1 | For guiding the user on clicking |
| Help | Member | F3 | To provide help to user |
| |
Screen controls and reason for their use
- Login
- Database table for movie
- Database name for customer points
- Database table for storing a number of seats temporarily.
- Database table for booking
- Database table for city
- Database table for Customers
- Database table for Screens
- Database table for seats
- Database table for show
- Database table for theatre
- Database table for theatre
- Database table for print
- Database table for feedback
- Structural Model of the business system
4.2 Create Object diagram of the system covering all components of the system

Abdul, F. A., & Fhang, M. C. S. (2012, May). Implementing Continuous Integration towards rapid application development. In Innovation Management and Technology Research (ICIMTR), 2012 International Conference on (pp. 118-123). IEEE.
Chung, L., Nixon, B. A., Yu, E., & Mylopoulos, J. (2012). Non-functional requirements in software engineering (Vol. 5). Springer Science & Business Media.
Cineplex (2017). About Cineplex. [Online] Available at https://www.cineplex.com/Corporate/Information [Accessed November 06, 2017]
Delligatti, L. (2013). SysML distilled: A brief guide to the systems modeling language. Addison-Wesley.
Dennis, A., Wixom, B. H., & Tegarden, D. (2015). Systems analysis and design: An object-oriented approach with UML. John Wiley & Sons.
Friedenthal, S., Moore, A., & Steiner, R. (2014). A practical guide to SysML: the systems modeling language. Morgan Kaufmann.
Kendall,K.E.,kendall,J.E.,Mathew,S.K.( 2007). Systems analysis and design.( 6th Edition). Pearson Education, India.
Ormeño, Y. I., Panach, J. I., Condori-Fern, N., & Pastor, Ó. (2013, May). Towards a proposal to capture usability requirements through guidelines. In Research Challenges in Information Science (RCIS), 2013 IEEE Seventh International Conference on (pp. 1-12). IEEE.
Pedrycz, W. (2013). Granular computing: analysis and design of intelligent systems. CRC press.
Rosenblatt, H. J. (2013). Systems analysis and design. Cengage Learning.
Saunders, M. N., & Lewis, P. (2012). Doing research in business & management: An essential guide to planning your project. Pearson.
Steel, J., Drogemuller, R., & Toth, B. (2012). Model interoperability in building information modelling. Software and Systems Modeling, 11(1), 99-109.
Valacich, J. S., George, J. F., & Hoffer, J. A. (2015). Essentials of systems analysis and design. Pearson Education.
Zhu, M. X., Luo, X. X., Chen, X. H., & Wu, D. D. (2012). A non-functional requirements tradeoff model in trustworthy software. Information Sciences, 191, 61-75.
Appendix
Appendix 1: Fact-finding tools This appendix contains samples of all the participant interviews. The interview was based on the movie watching culture and the challenges faced by various movie fans and how to address them. Participant A The interview was held at a restaurant on 28th October 2017at 11:00 am. Well-structured interview questions were used. The interview took 30 minutes since the interviewee had a very tight work schedule and had to rush to work immediately after the interview Participant B The interviewee was in a private office. The interview was conducted on October 29th, 2017 at 9:00 am. The interviewee had the usual assortment of a computer, telephone and working papers on her table. She was informed of the purpose of the research and anonymity guaranteed. She was not overly concerned for her views to be revealed about the topic.Participant C
A gentleman who was middle-aged was engaged to an interview at a cinema hall on 30th October 2017 at 5:30 pm. He was very categorical about the delays they undergo in booking for cinema tickets and the challenges involved therein.
Participants D
A group of university students was also interviewed on 31st October 2017 at 8:00 am. They stated that current system for booking tickets was presenting numerous challenges such as delays in acquisition cinema tickets. They were very open to views and never wanted their opinions to be hidden in any way.
Sample interview questions
What is your age?
How often do you go to the cinema?
What are your favorite movies?
How do you apply for movie tickets?
What challenges do you experience during booking a movie ticket?
How have these challenges changed your mindset on going to the cinema?
How do you think these challenges can be solved?