This is 8 Problems/Questions Problem 10-21 (Algorithmic) United Express Service (UES) uses large quantities of packaging materials at its four distribution hubs. After screening potential suppliers, U
Problem 10-21 (Algorithmic)
United Express Service (UES) uses large quantities of packaging materials at its four distribution hubs. After screening potential suppliers, UES identified six vendors that can provide packaging materials that will satisfy its quality standards. UES asked each of the six vendors to submit bids to satisfy annual demand at each of its four distribution hubs over the next year. The following table lists the bids received (in thousands of dollars). UES wants to ensure that each of the distribution hubs is serviced by a different vendor. Which bids should UES accept, and which vendors should UES select to supply each distribution hub?
| Distribution Hub | ||||
| Bidder | 1 | 2 | 3 | 4 |
| Martin Products | 175 | 175 | 115 | 235 |
| Schmidt Materials | 160 | 225 | 145 | 210 |
| Miller Containers | 210 | 215 | 130 | 205 |
| D&J Burns | 175 | 185 | 175 | 250 |
| Larbes Furnishings | 220 | 195 | 140 | 225 |
| Lawler Depot | 275 | 195 | 200 | 270 |
| Bidder | Decision | Bid |
| Martin Products | Select or reject ? | 175175 |
| Schmidt Materials | Select or reject ? | ? |
| Miller Containers | Select or reject ? | ? |
| D&J Burns | Select or reject ? | ? |
| Larbes Furnishings | Select or reject ? | ? |
| Lawler Depot | Select or reject ? | ? |
The value of the objective function is fill in the blank thousands of dollars.
Problem 10-05
Premier Consulting’s two consultants, Avery and Baker, can be scheduled to work for clients up to a maximum of 160 hours each over the next four weeks. A third consultant, Campbell, has some administrative assignments already planned and is available for clients up to a maximum of 140 hours over the next four weeks. The company has four clients with projects in process. The estimated hourly requirements for each of the clients over the four-week period are as follows:

Hourly rates vary for the consultant–client combination and are based on several factors, including project type and the consultant’s experience. The rates (dollars per hour) for each consultant–client combination are as follows:

Choose the correct network representation of the problem.
| (i) | (ii) | ||
| (iii) | (iv) |
Model______?_______
Formulate the problem as a linear program, with the optimal solution providing the hours each consultant should be scheduled for each client to maximize the consulting firm’s billings. What is the schedule and what is the total billing?
Let xij = number of hours from consultant i assigned to client j.
| Max | fill in the blank 2 | fill in the blank 3 | fill in the blank 4 | fill in the blank 5 | fill in the blank 6 | fill in the blank 7 | fill in the blank 8 | ||||||||||
| fill in the blank 9 | fill in the blank 10 | fill in the blank 11 | fill in the blank 12 | fill in the blank 13 | |||||||||||||
| s.t. | fill in the blank 14 | fill in the blank 15 | fill in the blank 16 | fill in the blank 17 | ≤ | fill in the blank 18 | |||||||||||
| fill in the blank 19 | fill in the blank 20 | fill in the blank 21 | fill in the blank 22 | ≤ | fill in the blank 23 | ||||||||||||
| fill in the blank 24 | fill in the blank 25 | fill in the blank 26 | fill in the blank 27 | ≤ | fill in the blank 28 | ||||||||||||
| fill in the blank 29 | fill in the blank 30 | fill in the blank 31 | fill in the blank 32 | ||||||||||||||
| fill in the blank 33 | fill in the blank 34 | fill in the blank 35 | fill in the blank 36 | ||||||||||||||
| fill in the blank 37 | fill in the blank 38 | fill in the blank 39 | fill in the blank 40 | ||||||||||||||
| fill in the blank 41 | fill in the blank 42 | fill in the blank 43 | fill in the blank 44 | ||||||||||||||
| xij ≥ 0 for all i, j | |||||||||||||||||
| Hours Assigned | Billing | |
| Avery-Client A | fill in the blank 45 | $fill in the blank 46 |
| Avery-Client B | fill in the blank 47 | fill in the blank 48 |
| Avery-Client C | fill in the blank 49 | fill in the blank 50 |
| Avery-Client D | fill in the blank 51 | fill in the blank 52 |
| Baker-Client A | fill in the blank 53 | fill in the blank 54 |
| Baker-Client B | fill in the blank 55 | fill in the blank 56 |
| Baker-Client C | fill in the blank 57 | fill in the blank 58 |
| Baker-Client D | fill in the blank 59 | fill in the blank 60 |
| Campbell-Client A | fill in the blank 61 | fill in the blank 62 |
| Campbell-Client B | fill in the blank 63 | fill in the blank 64 |
| Campbell-Client C | fill in the blank 65 | fill in the blank 66 |
| Campbell-Client D | fill in the blank 67 | fill in the blank 68 |
| Total Billing | $ fill in the blank 69 |
New information shows that Avery doesn’t have the experience to be scheduled for client B. If this consulting assignment is not permitted, what impact does it have on total billings? What is the revised schedule?
| | Hours Assigned | Billing |
| Avery-Client A | fill in the blank 70 | $fill in the blank 71 |
| Avery-Client B | fill in the blank 72 | fill in the blank 73 |
| Avery-Client C | fill in the blank 74 | fill in the blank 75 |
| Avery-Client D | fill in the blank 76 | fill in the blank 77 |
| Baker-Client A | fill in the blank 78 | fill in the blank 79 |
| Baker-Client B | fill in the blank 80 | fill in the blank 81 |
| Baker-Client C | fill in the blank 82 | fill in the blank 83 |
| Baker-Client D | fill in the blank 84 | fill in the blank 85 |
| Campbell-Client A | fill in the blank 86 | fill in the blank 87 |
| Campbell-Client B | fill in the blank 88 | fill in the blank 89 |
| Campbell-Client C | fill in the blank 90 | fill in the blank 91 |
| Campbell-Client D | fill in the blank 92 | fill in the blank 93 |
| Total Billing | $fill in the blank 94 |
Problem 10-07 (Algorithmic)
Aggie Power Generation supplies electrical power to residential customers for many U.S. cities. Its main power generation plants are located in Los Angeles, Tulsa, and Seattle. The following table shows Aggie Power Generation's major residential markets, the annual demand in each market (in megawatts or MWs), and the cost to supply electricity to each market from each power generation plant (prices are in $/MW).
| Distribution Costs | ||||
| City | Los Angeles | Tulsa | Seattle | Demand (MWs) |
| Seattle | $351.25 | $588.75 | $54.38 | 945.00 |
| Portland | $370.25 | $607.75 | $192.13 | 845.25 |
| San Francisco | $168.13 | $465.00 | $286.88 | 2365.00 |
| Boise | $344.25 | $463.00 | $284.88 | 581.75 |
| Reno | $235.50 | $473.00 | $354.25 | 948.00 |
| Bozeman | $429.63 | $429.63 | $310.88 | 507.15 |
| Laramie | $377.25 | $436.63 | $377.25 | 1208.50 |
| Park City | $383.25 | $383.25 | $502.00 | 630.25 |
| Flagstaff | $210.13 | $507.00 | $625.75 | 1150.19 |
| Durango | $341.25 | $281.88 | $578.75 | 1450.25 |
If there are no restrictions on the amount of power that can be supplied by any of the power plants, what is the optimal solution to this problem? Which cities should be supplied by which power plants? What is the total annual power distribution cost for this solution? If required, round your answers to two decimal places.
The optimal solution is to produce fill in the blank 1MWs in Los Angeles, fill in the blank 2
MWs in Tulsa, and fill in the blank 3
MWs in Seattle. The total distribution cost of this solution is $ fill in the blank 4
.
If at most 3800 MWs of power can be supplied by any one of the power plants, what is the optimal solution? What is the annual increase in power distribution cost that results from adding these constraints to the original formulation? If required, round your answers to two decimal places.
The optimal solution is to produce fill in the blank 5MWs in Los Angeles, fill in the blank 6
MWs in Tulsa, and fill in the blank 7
MWs in Seattle. The total distribution cost of this solution is $ fill in the blank 8
. The increase in cost associated with the additional constraints is $ fill in the blank 9
.
Problem 10-25
Cleveland Area Rapid Delivery (CARD) operates a delivery service in the Cleveland metropolitan area. Most of CARD’s business involves rapid delivery of documents and parcels between offices during the business day. CARD promotes its ability to make fast and on-time deliveries anywhere in the metropolitan area. When a customer calls with a delivery request, CARD quotes a guaranteed delivery time. The following network shows the street routes available. The numbers above each arc indicate the travel time in minutes between the two locations.

Develop a linear programming model that can be used to find the minimum time required to make a delivery from location 1 to location 6. For subtractive or negative numbers use a minus sign even if there is a + sign before the blank.
| Min |
| |
| + | ||
| s.t. |
| | Flow Out | Flow In | ||
| Node 1 |
| | ||
| Node 2 |
| + | | |
| Node 3 |
| + | | |
| Node 4 |
| + | | |
| Node 5 |
| + | | |
| Node 6 | + | | ||
| xij ≥ 0 for all i, j | ||||
How long does it take to make a delivery from location 1 to location 6?
fill in the blank 46minutes
Assume that it is now 1:00 P.M. and that CARD just received a request for a pickup at location 1. The closest CARD courier is 8 minutes away from location 1. If CARD provides a 20% safety margin in guaranteeing a delivery time, what is the guaranteed delivery time if the package picked up at location 1 is to be delivered to location 6?
fill in the blank 47p.m.
Problem 10-31
A long-distance telephone company uses a fiber-optic network to transmit phone calls and other information between locations. Calls are carried through cable lines and switching nodes. A portion of the company’s transmission network is shown here. The numbers above each arc show the capacity in thousands of messages that can be transmitted over that branch of the network.
To keep up with the volume of information transmitted between origin and destination points, use the network to determine the maximum number of messages that may be sent from a city located at node 1 to a city located at node 7.

Maximum number of messages = fill in the blank 1
Problem 10-03
Tri-County Utilities, Inc., supplies natural gas to customers in a three-county area. The company purchases natural gas from two companies: Southern Gas and Northwest Gas. Demand forecasts for the coming winter season are as follows: Hamilton County, 400 units; Butler County, 200 units; and Clermont County, 300 units. Contracts to provide the following quantities have been written: Southern Gas, 500 units; and Northwest Gas, 400 units. Distribution costs for the counties vary, depending upon the location of the suppliers. The distribution costs per unit (in thousands of dollars) are as follows:
Choose the correct network representation of this problem.
| (i) |
| (ii) | |
| (iii) |
| (iv) |
Model______?________
Develop a linear programming model that can be used to determine the plan that will minimize total distribution costs.
Let xij = amount shipped from supply node i to demand node j.
| Min | fill in the blank 2 | fill in the blank 3 | fill in the blank 4 | fill in the blank 5 | fill in the blank 6 | fill in the blank 7 | |||||||
| s.t. | |||||||||||||
| fill in the blank 8 | fill in the blank 9 | fill in the blank 10 | ≤ | fill in the blank 11 | |||||||||
| fill in the blank 12 | fill in the blank 13 | fill in the blank 14 | ≤ | fill in the blank 15 | |||||||||
| fill in the blank 16 | fill in the blank 17 | fill in the blank 18 | |||||||||||
| fill in the blank 19 | fill in the blank 20 | fill in the blank 21 | |||||||||||
| fill in the blank 22 | fill in the blank 23 | fill in the blank 24 | |||||||||||
| xij ≥ 0 for all i, j | |||||||||||||
Describe the distribution plan and show the total distribution cost.
| Amount | Cost | |
| Southern - Hamilton | fill in the blank 25 | $fill in the blank 26 |
| Southern - Butler | fill in the blank 27 | fill in the blank 28 |
| Southern - Clermont | fill in the blank 29 | fill in the blank 30 |
| Northwest - Hamilton | fill in the blank 31 | fill in the blank 32 |
| Northwest - Butler | fill in the blank 33 | fill in the blank 34 |
| Northwest - Clermont | fill in the blank 35 | fill in the blank 36 |
| Total Cost | $fill in the blank 37 |
Recent residential and industrial growth in Butler County has the potential for increasing demand by as much as 100 units. Which supplier should Tri-County contract with to supply the additional capacity?
Amount
Cost
Southern - Hamilton
fill in the blank 38
$fill in the blank 39
Southern - Butler
fill in the blank 40
fill in the blank 41
Southern - Clermont
fill in the blank 42
fill in the blank 43
Northwest - Hamilton
fill in the blank 44
fill in the blank 45
Northwest - Butler
fill in the blank 46
fill in the blank 47
Northwest - Clermont
fill in the blank 48
fill in the blank 49
Total Cost
$fill in the blank 50
From the new solution we see that Tri-County should contract with ________?_________ Gas for the additional 100 units.
Problem 10-13
Sports of All Sorts produces, distributes, and sells high-quality skateboards. Its supply chain consists of three factories (located in Detroit, Los Angeles, and Austin) that produce skateboards. The Detroit and Los Angeles facilities can produce 350 skateboards per week, but the Austin plant is larger and can produce up to 700 skateboards per week. Skateboards must be shipped from the factories to one of four distribution centers, or DCs (located in Iowa, Maryland, Idaho, and Arkansas). Each distribution center can process (repackage, mark for sale, and ship) at most 500 skateboards per week.
Skateboards are then shipped from the distribution centers to retailers. Sports of All Sorts supplies three major U.S. retailers: Just Sports, Sports ’N Stuff, and The Sports Dude. The weekly demands are 200 skateboards at Just Sports, 500 skateboards at Sports ’N Stuff, and 650 skateboards at The Sports Dude. The following tables display the per-unit costs for shipping skateboards between the factories and DCs and for shipping between the DCs and the retailers.

Choose the correct network representation of this problem.
| (i) | (ii) | ||
| (iii) | (iv) |
Build a model to minimize the transportation cost of a logistics system that will deliver skateboards from the factories to the distribution centers and from the distribution centers to the retailers. What is the optimal production strategy and shipping pattern for Sports of All Sorts? What is the minimum attainable transportation cost? If required, round your answers to two decimal places.
Let xij = units shipped from node i to node j.Min
fill in the blank 2
x1,4
fill in the blank 3
x1,5
fill in the blank 4
x1,6
fill in the blank 5
x1,7
fill in the blank 6
x2,4
fill in the blank 7
x2,5
fill in the blank 8
x2,6
fill in the blank 9
x2,7
fill in the blank 10
x3,4
fill in the blank 11
x3,5
fill in the blank 12
x3,6
fill in the blank 13
x3,7
fill in the blank 14
x4,8
fill in the blank 15
x4,9
fill in the blank 16
x4,10
fill in the blank 17
x5,8
fill in the blank 18
x5,9
fill in the blank 19
x5,10
fill in the blank 20
x6,8
fill in the blank 21
x6,9
fill in the blank 22
x6,10
fill in the blank 23
x7,8
fill in the blank 24
x7,9
fill in the blank 25
x7,10
| subject to | ||||||||||||
| fill in the blank 26 | fill in the blank 27 | fill in the blank 28 | fill in the blank 29 | ≤ | fill in the blank 30 | |||||||
| fill in the blank 31 | fill in the blank 32 | fill in the blank 33 | fill in the blank 34 | ≤ | fill in the blank 35 | |||||||
| fill in the blank 36 | fill in the blank 37 | fill in the blank 38 | fill in the blank 39 | ≤ | fill in the blank 40 | |||||||
| fill in the blank 41 | fill in the blank 42 | fill in the blank 43 | fill in the blank 44 | fill in the blank 45 | fill in the blank 46 | |||||||
| fill in the blank 47 | fill in the blank 48 | fill in the blank 49 | fill in the blank 50 | fill in the blank 51 | fill in the blank 52 | |||||||
| fill in the blank 53 | fill in the blank 54 | fill in the blank 55 | fill in the blank 56 | fill in the blank 57 | fill in the blank 58 | |||||||
| fill in the blank 59 | fill in the blank 60 | fill in the blank 61 | fill in the blank 62 | fill in the blank 63 | fill in the blank 64 | |||||||
| fill in the blank 65 | fill in the blank 66 | fill in the blank 67 | ≤ | fill in the blank 68 | ||||||||
| fill in the blank 69 | fill in the blank 70 | fill in the blank 71 | ≤ | fill in the blank 72 | ||||||||
| fill in the blank 73 | fill in the blank 74 | fill in the blank 75 | ≤ | fill in the blank 76 | ||||||||
| fill in the blank 77 | fill in the blank 78 | fill in the blank 79 | ≤ | fill in the blank 80 | ||||||||
| fill in the blank 81 | fill in the blank 82 | fill in the blank 83 | fill in the blank 84 | ≥ | fill in the blank 85 | |||||||
| fill in the blank 86 | fill in the blank 87 | fill in the blank 88 | fill in the blank 89 | ≥ | fill in the blank 90 | |||||||
| fill in the blank 91 | fill in the blank 92 | fill in the blank 93 | fill in the blank 94 | ≥ | fill in the blank 95 | |||||||
| xij,yij ≥ 0 | ||||||||||||
for all i and j.
Solving the formulation above, the optimal cost is $ fill in the blank 96 per week.
Sports of All Sorts is considering expansion of the Iowa DC capacity to 800 units per week. The annual amortized cost of expansion is $40,000. Should the company expand the Iowa DC capacity so that it can process 800 skateboards per week? (Assume 50 operating weeks per year.)
yes or no
Explain.
The input in the box below will not be graded, but may be reviewed and considered by your instructor.
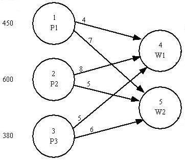
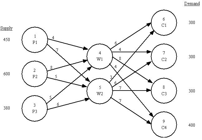
Problem 10-11
The distribution system for the Herman Company consists of three plants, two warehouses, and four customers. Plant capacities and shipping costs per unit (in $) from each plant to each warehouse are as follows:
Customer demand and shipping costs per unit (in $) from each warehouse to each customer are as follows:
Choose the correct network representation of this problem.
| (i) | (ii) |
| |
| (iii) | (iv) |
|
Mosel____?_________
Formulate a linear programming model of the problem. For subtractive or negative numbers use a minus sign even if there is a + sign before the blank.
Let Xij represents relation between plants to warehouses or relation between warehouses to customers.MIN
X14+
X15+
X24+
X25
X34+
X35+
X46+
X47+
X48+
X49+
X56+
X57+
X58+
X59
-
S.T.
1)
fill in the blank 16
X14
fill in the blank 17
X15
<
fill in the blank 18
2)
fill in the blank 19
X24
fill in the blank 20
X25
<
fill in the blank 21
3)
fill in the blank 22
X34
fill in the blank 23
X35
<
fill in the blank 24
4)
fill in the blank 25
X46
fill in the blank 26
X47
fill in the blank 27
X48
fill in the blank 28
X49
fill in the blank 29
X14
fill in the blank 30
X24
fill in the blank 31
X34
fill in the blank 32
5)
fill in the blank 33
X56
fill in the blank 34
X57
fill in the blank 35
X58
fill in the blank 36
X59
fill in the blank 37
X15
fill in the blank 38
X25
fill in the blank 39
X35
fill in the blank 40
6)
fill in the blank 41
X46
fill in the blank 42
X56
fill in the blank 43
7)
fill in the blank 44
X47
fill in the blank 45
X57
fill in the blank 46
8)
fill in the blank 47
X48
fill in the blank 48
X58
fill in the blank 49
9)
fill in the blank 50
X49
fill in the blank 51
X59
fill in the blank 52
Solve the linear program to determine the optimal shipping plan.
Objective Function Value = fill in the blank 53Variable
Value
Reduced Costs
X14
fill in the blank 54
fill in the blank 55
X15
fill in the blank 56
fill in the blank 57
X24
fill in the blank 58
fill in the blank 59
X25
fill in the blank 60
fill in the blank 61
X34
fill in the blank 62
fill in the blank 63
X35
fill in the blank 64
fill in the blank 65
X46
fill in the blank 66
fill in the blank 67
X47
fill in the blank 68
fill in the blank 69
X48
fill in the blank 70
fill in the blank 71
X49
fill in the blank 72
fill in the blank 73
X56
fill in the blank 74
fill in the blank 75
X57
fill in the blank 76
fill in the blank 77
X58
fill in the blank 78
fill in the blank 79
X59
fill in the blank 80
fill in the blank 81
There is an excess capacity ofunits at .Plant 1, Plant 2 or Plant 3?















