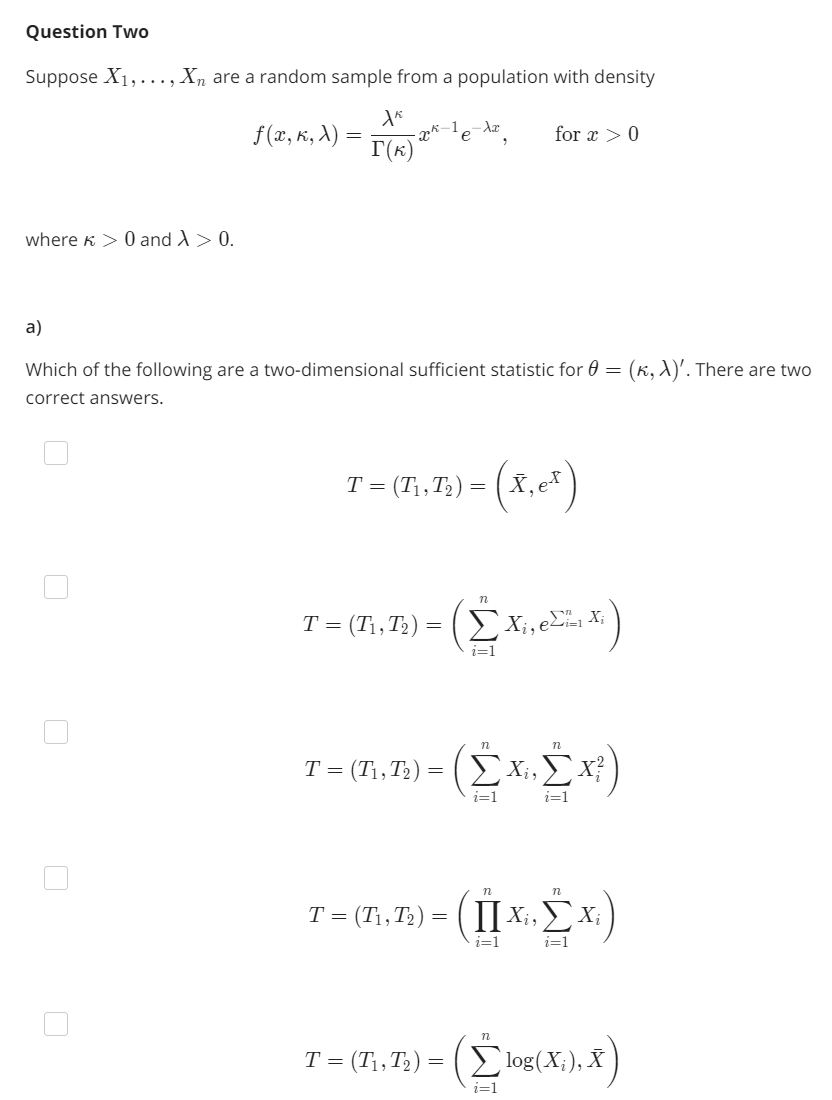
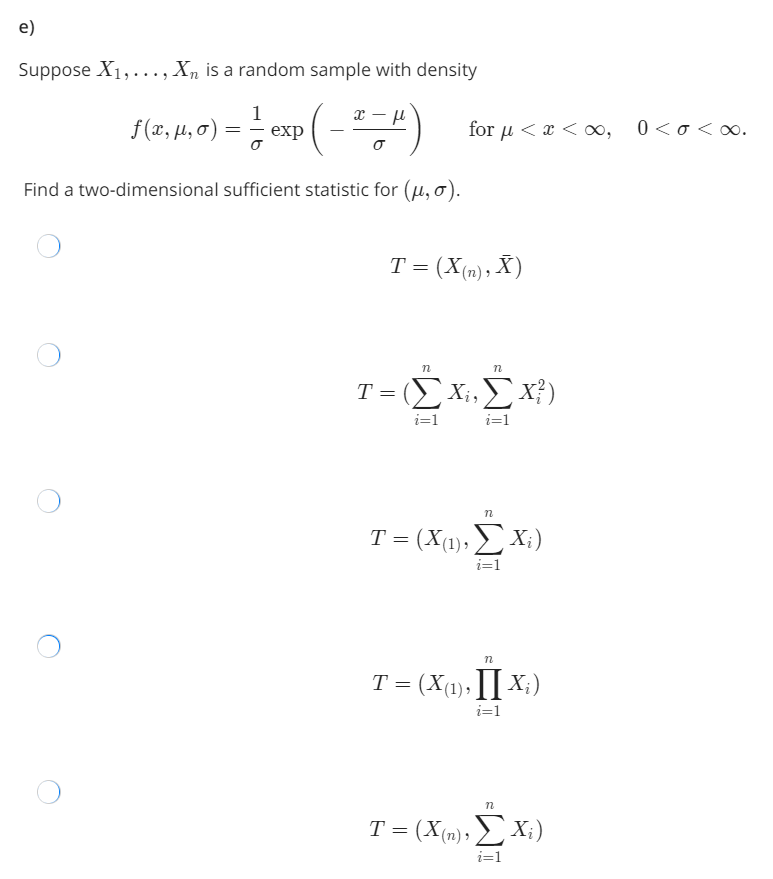
Only Answer (Without steps)

Only Answer (Without steps) 1Only Answer (Without steps) 2Only Answer (Without steps) 3Only Answer (Without steps) 4Only Answer (Without steps) 5Only Answer (Without steps) 6Only Answer (Without steps) 7Only Answer (Without steps) 8Only Answer (Without steps) 9Only Answer (Without steps) 10Only Answer (Without steps) 11Only Answer (Without steps) 12Only Answer (Without steps) 13Only Answer (Without steps) 14Only Answer (Without steps) 15