I need a Powerpoint presentation about the research topic about emotional support dogs help college students. It doesn't matter how many slides there are, but it needs to be long enough with enough st
Running head: EMOTIONAL SUPPORT DOGS 1
How Emotional Support Dogs Help College Students
Name
Institution
Course Number and Title
Professor’s Name
Date
How Emotional Support Dogs Help College Students
Introduction
College could be very devastating for students due to many reasons. Many students usually join colleges far from home or in another state. Thus they might find it hard to function without their close friends and family due to homesickness. Particularly, first-year students experience the most emotional struggles as they adapt to a new environment and learn how to handle new responsibilities. Emotional struggles like this are compounded for students that suffer from mental issues such as depression and anxiety. These unique experiences make it harder for such students because they heighten the preexisting anxiety and depression among such individuals. However, many universities and colleges have adopted Animal-Assisted Therapy (AAT) to provide emotional support for students struggling emotionally. This paper will provide literature and statistical analysis on how pets provide emotional support to college students.
Background
Students' transition from adolescence to adulthood when they join college is a crucial growth marked by increased responsibilities, changing roles, and new challenges. As Thelwell (2019) presented, university and college students account for a larger population of people that struggle with psychological distress, with many students struggling from family, social, academic, and social hussies. A 2017 annual report by the Centre for Collegiate Mental Health indicated that approximately 161,014 college students out of the 147 colleges and universities had at least sought guiding and counseling from the school's counseling department (Thelwell, 2019). Besides, the report indicated that the common issues faced by college students were stress, depression, and anxiety, with 45.5%, 49.7%, and 62.2% of students reporting these psychological issues, respectively.
Emotional Support Animals on Colleges
Emotional Support Animals comprise mainly cats and dogs, which offer a calming influence, support, affection, aid, comfort, and nonjudgmental positive regards to the person handling them. Von Bergen (2015) established that these animals without nay training have successfully managed to reduce emotionally and psychologically induced pain in students that suffer from these problems. Ideally, the emotional support that these animals mainly offer is companionship. For instance, in Professional Veterinary Medicine (PVM), emotional support animals have successfully managed to help students deal with emotional struggles by providing support. This has led to the increase in the requests of these animals in PVM programs, with an estimated one-third (32.1%) of these programs receiving requests for Emotional Support Animals within the last two years (Reichel, 2018). Therefore, ESAs offer emotional support to college students by providing companionship to help combat homesickness.
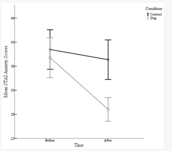
Moreover, emotional support dogs help students deal with emotional issues by easing social anxiety. In the ideal world, making new friends and experiencing new classmates is hard, particularly for introverts. Thelwell (2019) utilized STAI Anxiety Scores to determine the effect that dogs have on students' anxiety levels. The table below summarizes her findings.
Source: Thelwell (2019)
Source: Thelwell (2019)
The diagram above is a plot of the mean STAI anxiety scores for the respondents for the study in the experimental condition (those that interacted with dogs) and respondents in the control condition (those that did not interact with dogs). From her findings, it is evident that students' anxiety levels decreased after students interacted with a dog. Therefore, emotional support dogs help students deal with anxiety because the animal provides a place to fall back on, thus lifting the weight of feeling anxious in social gatherings.
Thirdly, emotional support animals provide therapy to students through programs such as Animal-Assisted Therapy (AAT) and Animal-Visitation Programs (AVPs). Ideally, many people struggling with mental issues are afraid of seeking therapy due to the stigma that surrounds mental issues. However, in colleges, pet therapy is used to help de-stigmatize mental illness and enhance the probability of students walking into a counseling department to seek help (Adams et al., 2017). This is because pet therapy sounds less stigmatizing than actual therapy. Thus, students would be more likely to try Animal-Assisted Therapy because having a pet in school is normal (Smith, Ballard & Willis, 2021). Besides, students would be more willing to use this type of therapy because it will not attract other peers or family judgment. Therefore, emotional support animals help college students deal with emotional struggles because they provide treatment that students most prefer since they can seek therapy without their peers knowing that they have mental issues, thus evading stigma and prejudice.
Conclusion
University and college students often face various adjustment and psychological problems. Even though many of these academic facilities offer therapy in their counseling departments, the utilization of Emotional Support Animals is gaining popularity because students prefer this type of therapy because of the little stigma it attracts. As evidenced in the supporting research in the preceding paragraphs, animals are essential to college students because they help them deal with psychological issues varying from mild to chronic problems. Therefore, implementing this strategy in colleges might be a relatively cheaper and effective strategy of helping deal with psychological distress.
References
Adams, T., Clark, C., Crowell, V., Duffy, K., Green, M., McEwen, S., ... & Hammonds, F. (2017). The mental health benefits of having dogs on college campuses. Modern Psychological Studies, 22(2), 7.
Reichel, C. (2018). From best friend to therapist: Research on emotional support animals. Retrieved 7th November 2021 from https://journalistsresource.org/economics/emotional-support-animals-research/
Smith, M. G., Ballard, S., & Willis, J. (2021). The Rise in Use of Emotional Support Animals by College Students: The Impact of Parenting Styles. Georgia Journal of College Student Affairs, 37(1). https://doi.org/10.20429/gcpa.2021.370104
Thelwell, E. L. (2019). Paws for Thought: A Controlled Study Investigating the Benefits of Interacting with a House-Trained Dog on University Students Mood and Anxiety. Animals, 9(10), 846.
Von Bergen, C. W. (2015). Emotional support animals, service animals, and pets on campus. Administrative Issues Journal, 5(1), 4.