calculation of optical properties of nano particles
24
Calculation of Optical Properties of Nano Particle
Summary
Nanoparticles are used in a variety of applications and their usage is growing vastly because of their superior’s characteristics among these properties optical properties play a vital role in various applications. This paper presents an overview of the practical application and calculation methods of optical properties of Nano particles talking about core principles which therefore explain the behavior exhibited by nanoparticles. Introduction The optical properties of nanoparticles are highly dependent on the particle size, shape, chemical composition, and the local dielectric environment. it is possible to selectively tune these properties to suit a given application Many studies have explored the optical properties of metal nanoparticles using simulations, that are useful in applications including solar cell, imaging, sensing and constructing nanostructures. This paper focuses on Mie theory for the calculation of optical properties of Nano particle according to which we can calculate the place of surface Plasmon resonance in optical spectra of metallic spherical nanoparticle Metal nanoparticles are widely used to construct structures that possess unique electronic, photonic and catalytic properties such as local surface Plasmon resonance (SPR). Surface Plasmon resonance of metallic nanoparticles is one of the reasons of their unique optical properties. (Bhardwaj)
Introduction
Many of the optical properties of Nano particle are closely related to the electrical and electronic properties of the material. But as we shall see other factors also come into discussion when we deal with optical properties. Usually talking about optical properties, we usually refer to the interaction of electromagnetic radiation with matter. Simply put we may consider it as a ray of an electromagnetic wave of a single frequency entering a medium from vacations ray could be reflected transmitted or may be absorbed. The reflection could be specular or diffuse. When there is an interaction of a medium with electromagnetic radiations first being the radiation my exhibit scattering secondly being the ray may get absorbed i.e. if one considers a wider range of frequencies then some part of the spectrum could be absorbed while the other frequencies could be scattered. Semiconductor and metallic nanomaterials and nanocomposites possess interesting linear absorption, photoluminescence emission, and nonlinear optical properties. Nanomaterials having small particle sizes exhibit enhanced optical emission as well as nonlinear optical properties due to the quantum confinement effect. Synthesis, characterization, and measurement of optical properties of nanomaterials with different anisotropic shapes have also drawn significant attention. The selection of nanoparticles for achieving efficient contrast for biological and cell imaging applications, as well as for photothermal therapeutic applications, is based on the optical properties of the nanoparticles. We use Mie theory and discrete dipole approximation method to calculate absorption and scattering efficiencies and optical resonance wavelengths for three commonly used classes of nanoparticles: gold Nano spheres, silica-gold Nano shells, and gold nanorods. The calculated spectra clearly reflect the well-known dependence of nanoparticle optical properties viz. the resonance wavelength, the extinction cross-section, and the ratio of scattering to absorption, on the nanoparticle dimensions. A systematic quantitative study of the various trends is presented in this paper. In this research, a systematic study of recently developed Mie theory and Discrete dipole approximation method DDA is derived. Thereafter, a classical analysis of each method is presented to get an understanding of how they are employed in development of metamaterials. We also talk about size and shape effect on the behavior of Nano particles while bringing some light on the use of these theories and meta materials applications in the field of super lenses.
Optical Properties of Nano particles
Discussing the optical behavior of nanomaterials, in order to do that we must first look at the concepts of some various phenomena in material like reflection, refraction, refractions and absorptions these phenomena give rise to colors in materials and they are also responsible for what we call the overall optical response of the material. (The Physics Classroom)
Light can be considered as having waves and consisting of particles called photons.
Energy of a photon
h-Planck’s constant (6.62x
J.sec)
v-frequency
c-speed of light
-wavelenght
Absorption essentially involves activating some process in the material to take it to an excited state. The material can essentially get excited by the follow ways.
Electronics
Vibrational
Rotational excitation
Further part of the absorbed energy could be re-emitted or absorbed dissipated as heat and is known as dissipative absorption.
Plasmon
We may differentiate of metals on the basis of free electrons which give rise to Plasmon’s. A Plasmon is a collective excitation of the electronic "fluid" in a piece of conducting material, like ripples on the surface of a pond are a collective mode of the water molecules of the liquid These electronic ripples can have a well-defined wavelength as light consists of photons, the plasma oscillation consists of Plasmon’s. That is, what makes the Plasmon waves we also have to discuss the frequency regime where the wavelength of the incoming radiation determines the response of the metal to the incoming radiation i.e. the metal could itself could become somewhat transparent or it could even reflect it depending on the frequency of the incoming radiation we also know that in case of semiconductors we have to keep in mind the band gap if we plan to understand how the absorption of a semiconductor is going to be when we impose an electromagnetic radiation. (Zhang)
Keeping in view the above statement the important question we now ask is that when we put a nanomaterial how is the behavior as compared to bulk metal going to change or a bulk semiconductor is going to change when we have a material in the nanoscale. As we discuss the size effect on optical properties the bulk metal absorbs electromagnetic radiation in visible region.
Surface Plasmon’s
Thin films of metals may partially transmit just because there is insufficient material to absorb the radiation (Au films few 10s nanometers may become partially transparent) apart from the insufficient material effect there are other phenomena’s which become relevant in nanomaterials specially Nano free standing and Nano crystalline particles and these include the phenomena of surface Plasmon’s and quantum confinement effects. Surface Plasmon’s (SPs) are coherent delocalized electron oscillations that exist at the interface between any two materials where the real part of the dielectric function changes sign across the interface (e.g. a metal-dielectric interface, such as a metal sheet in air). SPs have lower energy than bulk (or volume) Plasmon’s which quantize the longitudinal electron oscillations about positive ion cores within the bulk of an electron gas (or plasma). (Zhao)

Figure 1 Localized surface Plasmon resonance (LSPR), resulting from the collective oscillations of delocalized electrons in response to an external electric field
Quantum Dots
A term that needs to be discussed in the this regard are the Quantum dots that are very small semiconductor particles, only several nanometers in size, so small that their optical and electronic properties differ from those of larger particles. They are a central theme in nanotechnology. Many types of quantum dot will emit light of specific frequencies if electricity or light is applied to them, and these frequencies can be precisely tuned by changing the dots' size, shape and material, giving rise to many applications.

Figure 2 Absorption spectra of semiconductor nanoparticles of different diameter. Right-nanoparticles suspended in solution.
If we take quantum dots like this and we make them different sizes they either emit different colors or they absorb different colors, so if we take small cadmium selenide particle 5 nm in diameter and another one 4 nm in diameter and we hit them with ultra violet light we will experience luminance meaning they will emit light corresponding to the energy levels one will emit say blue light and one will emit green light (Manna)
As we know that in a Nano crystalline material, Nano materials or free standing Nano particles there is a large surface to volume ratio so surface dominant effects like surface Plasmon’s come into play, in semiconductor quantum dots optical absorption and emission shift to the blue higher energies which implies that inherently there is something changing in nanostructured materials regarding what we call the electromagnetic structure or the band structure.
The size reduction is more prominent in the case of semiconductors as compared to metal, now to see the confinement effects in metals we have to go down to smaller sizes as compared to semiconductor crystals this effects becomes prominent in larger sizes in semiconducting crystals it will also be seen that very small sizes metal nanoparticles can develop a bandgap and can become semiconductors and insulators.
Because of dimension confinement the density of state changes between a bulk 3D semiconductor, normal conductor to 2D kind of a system, further as we go to a 1D dimensional metal which actually develops a band gap i.e. if we take a material like copper which is a bulk metallic material and reduce its size and it is seen that the density of state starts to actual develop an energy gap and it starts to behave like a semiconductor or an insulator in very small sizes. Now as we go down to a zero-dimensional metal in the bulk then the material starts to behave like an atom having discrete energy levels
Now in the case of semiconducting nanoparticles and films on decreasing the size the electron gets confined to the particle and confinement effect starts to dominate and this leads to two important effects first being increasing the band gap energy and the second being the band levels get quantizes, say you have a bulk semiconductor we have a valance band and a conduction band separated by a band gap now in accordance with the Quantum size confinement effect the energy level spacing increases with decreasing dimension. (Annual Review of Biomedical Engineering)
Quantum Confinement
If the particle size is too small compared to the wavelength of the electrons, the quantum confinement effect was observed. To that end understand, we broke the word as quantum and Mitigation word meant to the movement of electrons move arbitrarily restrict their movement in a given energy level (discrete) in the quantum realm of subatomic reflect limit. As the particle size decreases until it reaches the limits reduction nanoscale size makes discrete energy levels, and this increase or add a wide band gap, and, ultimately, increases the band gap energy. Since the bandgap wavelength and inversely proportional to each other, decreases with decreasing wavelength, it was found to emit blue radiation
Now on the other hand the band gap levels get quantize as in a nanoparticle there are these discrete levels but since they are places so closely we can consider them to be a continuous state which we term as a band .But when the number of particles in the system reduce obviously there are not enough particles to make a continuous or semi-continuous level and therefore the we observe discretization effect and these level start to become discrete so there are two important factors that come into play when you reduce the size of the particle namely being the increase in bandgap and the band levels get quantized or start to show the discreteness level of the band. (Lin-Wang)
In a case study of Bulk GaAs (Gallium arsenide) and Nano GaAs we see that along the wavelength the bulk shows a decrease in absorbance as the wavelength is increasing in the right-hand direction the energy is increasing in the left-hand direction. On the other hand, we have Nano-GaAs with a size variation (7-15 nm) which means there isn’t a single but range of band gaps so expect absorption to take place over a range of energies and that is a reason that the peak is actually broadened and is not a very short peak as one would expect. The broad excitonic peak occurs at about a range of 526nm and corresponds to an energy of about 2.36eV as compared to the bulk Gallium arsenide energy gap which is 1.43eV which shows that the band gap has effectively increased. Bulk Gallium arsenide has a different absorption spectrum as compared to the Nano gallium arsenide in Nano gallium arsenide a very strong peak is observed which corresponds to a band gap of 2.36eV which means that now the band has “BLUE SHIFTED” which means it happens at higher frequencies or in other words at lower wavelengths, the overall absorbance in higher in Nano material as compared to its counterpart bulk material and this is attributed to the enhanced oscillator strength (dimensionless quantity to express the strength of the transition from the valance band to the conductance band). (J. e. al)

Figure 3 Comparison of absorbance along increasing wavelength between Nano GaAs (7-15 nm) and Bulk GaAs showing an apparent blue shift
Now we take up an equivalent case of Pbse nanocrystals we again observe the effect of blue shift, which is coming from quantum confinement effect in these semiconductor nanocrystals the density state becomes more quantized and the band gap shifts to higher energies which is the root cause of this blue shift In the case of Pbse Nano crystals again we are we are again plotting the wavelength as the function of the absorbance and the curves have been shifted vertically so a comparison can be made there is a change in the absorption peak as we go from 9 nm particles of Pbse to 5.5 nm particles to 4.5 nm and then to the 3 nm particles. So, as it is clearly visible that there is a blue shift in the peaks and the peak shifts towards higher frequencies or in other words lower wavelengths and the energy of the transition becomes high and therefore the material absorbs at higher energies when we actually reduce the particle size from 9 nm to 3 nm and the wavelength shifts from 1100 nm to greater than 2000 nm which demonstrates a clear quantum confinement effect in these nanoparticles that effects its optical properties. (D. e. al)

Figure 4 Showing the effect of blue shift because of quantum confinement as the wavelength shifts from 1100 nm to 2000 nm when we move from particle size of 9nm to parcile size of 3 nm.
Photoluminescence
The counterpart or other side of the absorbance is called photo luminance which can be defined as the phenomena when a material is put into an excited state then it is going to relax to its ground state and in the process, is going to emit a photon. If the energy of the emitted photon lies in the range of 1.8 - 3.1 eV the radiation will be in the visible range, by changing the size of the nanoparticles the frequency of emission can be tailored the decrease in size of Nano particles accompanies a blue shift.
Core Shell nanostructures
A semiconductor acts like a core while being enveloped by another semiconductor that behaves like a shell some prominent examples of these are CdS coated with MoS4, ZnSe coated with CdSe, Cdse coated with CdS where the bandgaps are tunable near the I-R which can be used as IR biological luminescent markers. In luminescent properties are characteristics of the core and the shell actually leads to an enhancement of the properties of the core where the shell could be performing many roles like acting as a permeable layer where it may be protecting the core from the environment. Deposition of a semiconductor with a larger bandgap than the core typically results in ‘luminescence enhancement’ due to radiation less recombination mediated by the surface states the transition between these layers may not always result in a luminescence effect and therefore the shell enhances the luminescence properties of the semiconductor.
Now in the case of ZnS Shell on Cdse core we will first observe the luminescence properties with the shell and then in the absence of the shell, there is a shell of ZnS and we will compare it with a case where there is no shell of ZnS and the trend observed due to this change in size is the change in color. There is an enhancement in the luminescence properties in the presence of the shell which an important effect of putting a shell around the core, as change in particle size occurs the frequency exhibit a blue shift. In each of the in each one of these cases the core shell structure has a higher emission as compared to the bare core (only the core).

Figure 5 Emission spectra of several sizes of (Cdse)Zns core-shell quantum dots.
Metallic Nano Particles
Gold nanoparticles used as a pigment of ruby-colored stained glass dating back to the 17th century. 1-10 nm sized particles give rise to this color and this color is due to surface Plasmon’s resonance. Thin film of Au ~100nm or less will transmit blue-violet light, the color of metallic particles depends on size in the nanoscale regime as bulk Au can is golden yellow color while nanoparticles of gold can have red, purple, or blue color. The color depends on the size and shape of the particle and dielectric properties of the medium as the surface Plasmon’s are excited by incident electromagnetic radiation.
For Ag or Au particles of about 50nm and smaller than this there will be no scattering within the particle and all the interaction will be with the surface in other words in small particle we have to consider the effect of the surface more meaning we have to consider the surface Plasmon more as compared to the bulk Plasmon’s and these surface Plasmon’s are going to be the key factors that are going to determine the optical properties of the nanoparticles.
The optical properties of gold and silver nanoparticles change drastically with nanoparticle shape. The photograph shows aqueous solutions of 4 nm gold Nano spheres (vial 0) and progressively higher aspect ratio gold nanorods (1–5). The optical spectra and transmission electron micrographs for the particles in vials 1–5 are also shown. Scale bars in micrographs are all 100 nm. (nanocomposix)

Figure 6 The optical spectra and transmission electron micrographs for the particles in vials 1–5 are also shown. Scale bars in micrographs are all 100 nm
The optical response of gold Nano shells depends dramatically on the relative size of the core nanoparticles as well as the thickness of gold shell.
By varying the relative core and shell thickness, the color of such gold Nano shells can be varied across a board range of optical spectrum spanning the visible and the near-infrared spectral regions. Semiconductors Core/Shell Nanoparticles are used for medical or bioimaging purposes enhancement of optical properties, light-emitting devices, nonlinear optics, biological labeling, improving the efficiency of either solar cells or the storage capacity of electronics devices. (S. J. Oldenburg)

Figure 7 Shows the effect of varying relative core and shell thickness of gold Nano Shells, there is an apparent blue shift as the frequency increases
Recently Developed LMTO Methods
Mie Theory:
Mie theory describes the light scattering particles. "Particles" as used herein refers to an aggregate of, the surrounding region (NMED), a refractive index (NP) of the material. In dipole radiation pattern of such particles of molecular electronic superposition oscillation strong net radiation. In addition, the re-radiation pattern of all the dipoles is not in the forward direction of the incident light are shifted, homogeneous media is correct, but is long and destructively interfere in the radiation pattern. For example, particles with different efficiencies "scattering" light in all directions.
Gustav Mie in 1908 published a solution to the problem of light scattering by homogeneous spherical particles of any size. Mie's classical solution is described in terms of two parameters, nr and x:
the magnitude of refractive index mismatch between particle and medium expressed as the ratio of the n for particle and medium,
nr = np/nmed
The sizes of the surface of refractive index mismatch which is the "antenna" for retardation of electromagnetic energy, expressed as a size parameter (x) which is the ratio of the meridional circumference of the sphere (2a, where radius = a) to the wavelength (
/nmed) of light in the medium,
x = 2a/(
/nmed)
A Mie theory calculation will yield the efficiency of scattering which relates the cross-sectional area of scattering, s [cm2], to the true geometrical cross-sectional area of the particle, A =
a2[cm2]:
s = QsA
Finally, the scattering coefficient is related to the product of scattered number density, s [cm-3], and the cross-sectional area of scattering,
s [cm2], (see definition of scattering coefficient):
µs = s
Theoretically, the particles by Mie theory generally spherical, but, in fact, particles are generally manufactured as a cubic or cylindrical ease of manufacturing. To the uniform criteria, which are much smaller than can satisfy in the form of a lattice constant, said operating wavelength, the relative dielectric constant of the dielectric particles is significantly higher than the 1
Consider the source, the spherical scattering particles and the observer, whose three positions define a plane called the scattering plane. The incident and scattered light can be reduced to its parallel or perpendicular to the scattering plane.

Figure 8 shows in the following figure, the parallel and vertical components can be experimentally selected by a linearly polarizing filter oriented parallel or perpendicular to the scattering plane. (Sun)
The scattering matrix describes the relationship between the vertical and parallel incident and scattered electric field components observed in the "far field”.

For practical scattering measurements, the above equation simplifies to the following:

Consider the scattering pattern from a 0.304-µm-dia. nonadsorbing polystyrene sphere in water irradiated by HeNe laser beam:
Table 1 Nonadsorbing polystyrene spheres in water at a concentration of 0.1% volume fraction
| np = 1.5721 | particle refractive index |
| nmed = 1.3316 | medium refractive index |
| a = 0.152 µm, | particle radius |
|
| wavelength in vacuum |
| nr = np/nmed = 1.5721/1.3316 = 1.1806 | relative refractive index |
| x = 2 | size parameter |
Mie (nr, x) ---> S1(), S1(
) as complex numbers
Mie (1.1806, 2.0097) ---> S1.re + jS1.im, S2.re + jS2.im as functions of
To view the results, calculate the intensities of scattering for parallel and perpendicular orientations of polarized source/detector pairs:
Ipar =S2S2* =Re{(S2.re +jS2.im)(S2.re -jS2.im)}
Iper = S1S1* = Re{(S1.re + jS1.im)(S1.re - jS1.im)}
which are shown in the following figures, and can be experimentally measured as described below.
The following figures describe the experimental measurements that illustrate the angular dependence of the scattered intensities Ipar and Iper:
Iper Irradiate dilute solution of spheres in water with laser beam polarization oriented perpendicular to the table. Collect scattered light as a function of angle in plane parallel to table. Place linear polarization filter in front of detector perpendicular to the table.

Figure 9 Cylindrical cuvette holding sphere solution
Ipar Irradiate dilute solution of spheres in water with laser beam polarization oriented parallel to the table. Collect scattered light as a function of angle 
Figure 10 Cylindrical cuvette holding sphere solution with polarization filter in front of detector
For a randomly polarized light source, the total scattered light intensity is given by the term S11:
![]()
S11 is the first element of the so-called Mueller Matrix, a 4x4 matrix which relates an input vector of Stokes parameters (Ii, Qi, Ui, Vi) describing a complex light source and the output vector (Is, Qs, Us, Vs) describing the nature of the transmitted light. For randomly polarized light, S11 describes the transport of total intensity:
Is = S11Ii
Mie scattering" suggests situations where the size of the scattering particles is comparable to the wavelength of the light, rather than much smaller or much larger. Mie scattering (sometimes referred to as a non-molecular or aerosol particle scattering) takes place in the lower 4.5 km of the atmosphere, where there may be many essentially spherical particles present with diameters approximately equal to the size of the wavelength of the incident energy.
Double Discrete Dipole Approximation
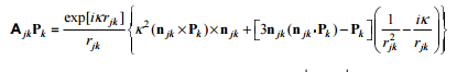
Electromagnetic scattering from nanometer-scale objects is currently being investigated both experimentally and theoretically for the understanding and prediction of novel near-field effects. Typically, near-field optical studies are performed on noble-metal nanostructures where resonances from surface Plasmon’s play an important role in near-field coupling and propagation effects in this paper, we examine the magneto-optical scattering from nanometer-scale structures using a discrete dipole approximation (DDA). In the simplest form, the approximation replaces individual nanoparticles with a single, electromagnetic dipole radiator. The optical response of a collection of particles is calculated self consistently by calculating the response of each dipole to the incident field plus the scattered field from all the other dipoles
In the DDA approximation, either the spherical nanoparticle, with diameter , or a similarly small element of an extended structure with dimensions on the order λ is represented by an oscillating dipole with polarizability tensor α j which is determined by the material properties. The dipole moment of the element located at
is
, where the local field
j is the incident field
, j plus the field radiated by all the other dipoles,
The incident field is given by where ω is the frequency of radiation and κ is the wave vector with magnitude κ = ω/c.
Substituting the expression for the dipole moment and rearranging yields,
where the radiation from a dipole has been written , =
. Using the well-known expression for radiation of a dipole located at position
evaluated at point

The optical interactions with a material which exhibits magneto-optical effects (a gyrotropic material)
are described by its dielectric tensor,
(. P. S. Pershan)
where the magneto-optical Voigt parameter and , and mx m m y z are the direction cosines of the magnetization vector. The induced (uniform) polarization of a dielectric sphere valid for arbitrary anisotropy is given by
where 1 is the 3×3 identity matrix and a is the radius of the sphere This allows the identification of the polarizability as
where 1 ( 2)− ε + 1 is understood as matrix inversion. The connection between magnetic field and optical field is through the magnetization-dependent dielectric tensor. In fact, at optical frequencies, the magnetic permeability is equal to unity and the effects of the magnetic field are characterized by the dielectric tensor through its dependence on the magnetization
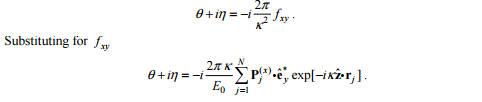
Optical properties are manifestations of absorption and reradiation of light from individual elements of the material. For this reason, a slightly different definition is needed for magneto-optical effects arising from materials whose dimensions are on the order of or smaller than an optical wavelength. We define the complex Faraday rotation angle as the difference in the scattering extinction coefficients for left and right circularly polarized light. The Faraday rotation, θ and ellipticity, η (per unit length), are given by
In general, the calculation of the extinction coefficients requires the calculation of dipole moments for two orthogonal polarizations of incident electric field. In this case, we take the both the incident and scattered fields to be the zˆ direction (forward scattering), which matches our experimental geometry. The scattering matrix elements are

where eˆ is a unit vector for the polarization and m and m′ denote the incident and scattered fields, respectively. is the calculated dipole moment of the jth particle for incident polarization
ˆ. Since both the incident and scattered fields are in the zˆ direction, the polarization unit vectors are simply xˆ and yˆ. The Faraday rotation is calculated from the
matrix element.

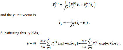
We now transform into the left-right circular polarization basis to show that this is indeed equivalent to Eq. (8). The usual transformation from (x,y,z) to (r,l,z), where r and l stand for right and left respectively, is given by
![]()
In this basis, the x polarization is written

which is equivalent to difference in extinction coefficients for left and right circularly polarized light, . The calculation proceeds as follows. For a, given geometry, a lattice is established with individual polarizabilities; values of the dielectric tensor are taken from the literature. Equation (4) is solved with incident x-polarized electric field which yields
We first apply the DDA calculations to magnetite nanowires. The model for the nanowires is similar to that used in Ref. [10] and is shown in Fig 1, showing the diagonal and off diagonal components of the dielectric tensor. The Faraday rotation is calculated for nanowires with 2 nm × 2 nm cross section and lengths from 2 nm to 100 nm.

Figure 11 Model for the magnetite nanowires. The sphere represents the individual discrete dipole elements. The cross section is 2X2 elements with a length L varied from 2 to 100 elements. In all cases the element grid spacing d = 1.0nm
The results of these calculations are shown in Fig. 2 for incident x polarization and nanowires aligned on the x axis and z axis. The magneto-optics calculations assume that the externally applied magnetic field is large enough to saturate the magnetization of the material. In order to highlight differences in nanowire orientation, we assume that the magnetization is in the z direction in both Fig. 2 (a) and (b). The absolute Faraday rotation is dependent on the volume of each scatterer as well as the number density of scatterers and thickness of the sample. We have normalized the calculations in Fig. 2 so that the Faraday rotation at the positive peak (~500 nm) is unity. The spectrum of the 2×2×2 element particle is the same as a single nanoparticle. Little change in the spectral Faraday rotation is noted for nanowires when the nanowire is aligned with polarization of the incident field. However, the Faraday rotation spectrum changes dramatically when the nanowire is aligned in the direction of light propagation (z direction). The overall effect is a blue shift of the spectrum with increasing nanowire length.

Figure 12 Calculation of the Faraday rotation of a magnetic nanowire. The long axis of the nanowire is aligned with the (a) x axis and (b) z axis. In both cases, the magnetic field is applied in the z direction
The model can be used as finite element method for the calculation of the magneto-optical response of non-spherical nanostructures with dimensions approaching the wavelength of light. The model can also be used to calculate magneto-optical scattering from collections of nanoparticles, where each nanoparticle is represented by a radiating dipole. The particle collections need not be homogeneous; in fact, we apply the model to binary nanoparticle systems which consist of a noble-metal and magnetic oxide nanoparticles. We calculate enhancements of the Faraday rotation near the plasmin resonances of the metal nanoparticles. These enhancements are evident for interparticle spacing’s on the order of 20 nm or less. (Stokes)
Conclusion
The optical properties of nanomaterials are the most attractive and useful properties, and have been extensively studied by means of different optical spectroscopic techniques. Semiconductor and metallic nanomaterials and nanocomposites possess interesting linear absorption, photoluminescence emission, and nonlinear optical properties. Nanomaterials having small particle sizes exhibit enhanced optical emission as well as nonlinear optical properties due to the quantum confinement effect. Synthesis, characterization, and measurement of optical properties of nanomaterials with different anisotropic shapes have also drawn significant attention. Optical properties and correlation spectroscopy basic understanding of nanomaterials for anyone interested in understanding of semiconductors, insulators or metal required. This is partly because the optical properties, and other properties are closely related functions. Chemistry and physics advances extended to a unique and powerful set of optical properties of nanostructured materials. These nanomaterials provide a new tool for biomedical engineers, biologists and medical scientists to explore new instruments such as biosensors and biological fluids, searching cells and tissues and chemical characteristics. Nanomaterials are also used for applications such as the development of drug delivery adjustment optical test equipment and optical treatment applications. And control the various components of the optical properties of Nano-scale integration remains one of the most difficult challenges. These calculations provide a tool for modeling the magneto-optical scattering from no spherical structures as well as provide a framework for the basic, qualitative understanding of the near-field coupling effects on magneto-optical scattering. Incidentally, none of these effects are predicted by any effective-medium type model or any mean-field theory which does not include near-field interactions The study shows a model for magneto-optical scattering from nanometer-scale structures based on a modification of the discrete dipole approximation. The model can be used as finite element method for the calculation of the magneto-optical response of non-spherical nanostructures with dimensions approaching the wavelength of light. The model can also be used to calculate magneto-optical scattering from collections of nanoparticles, where each nanoparticle is represented by a radiating dipole. The particle collections need not be homogeneous; in fact, we apply the model to binary nanoparticle systems which consist of a noble-metal and magnetic oxide nanoparticles. We calculate enhancements of the Faraday rotation near the plasmon resonances of the metal nanoparticles. These enhancements are evident for interparticle spacings on the order of 20 nm or less. However, progress in a relatively short time internal meta-material is made remarkable. Different disciplines to the full potential of this new material will include electronics, communications, medical diagnostics, healthcare and manufacturing, including a far-reaching impact.
List of Table and Figures
Figure 1 Localized surface Plasmon resonance (LSPR), resulting from the collective oscillations of delocalized electrons in response to an external electric field 4
Figure 2 Absorption spectra of semiconductor nanoparticles of different diameter. Right-nanoparticles suspended in solution. 4
Figure 3 Comparison of absorbance along increasing wavelength between Nano GaAs (7-15 nm) and Bulk GaAs showing an apparent blue shift 7
Figure 4 Showing the effect of blue shift because of quantum confinement as the wavelength shifts from 1100 nm to 2000 nm when we move from particle size of 9nm to parcile size of 3 nm. 8
Figure 5 Emission spectra of several sizes of (Cdse)Zns core-shell quantum dots. 9
Figure 6 The optical spectra and transmission electron micrographs for the particles in vials 1–5 are also shown. Scale bars in micrographs are all 100 nm 10
Figure 7 Shows the effect of varying relative core and shell thickness of gold Nano Shells, there is an apparent blue shift as the frequency increases 11
Figure 8 shows in the following figure, the parallel and vertical components can be experimentally selected by a linearly polarizing filter oriented parallel or perpendicular to the scattering plane. (Sun) 13
Figure 9 Cylindrical cuvette holding sphere solution 14
Figure 10 Cylindrical cuvette holding sphere solution with polarization filter in front of detector 15
Figure 11 Model for the magnetite nanowires. The sphere represents the individual discrete dipole elements. The cross section is 2X2 elements with a length L varied from 2 to 100 elements. In all cases the element grid spacing d = 1.0nm 19
Figure 12 Calculation of the Faraday rotation of a magnetic nanowire. The long axis of the nanowire is aligned with the (a) x axis and (b) z axis. In both cases, the magnetic field is applied in the z direction 19
Works Cited. P. S. Pershan. ""Magneto-optical effects." J. Appl. Phys (2009): 38. Document.
al, Dabbousi et. "J. Phys. Chem. B ." 9463-9475 (997): 101. Paper.
al, J.Nayak et. "J. Nayak et al., Physica." (2004: 227–233. Document.
Annual Review of Biomedical Engineering. "Annual Review of Biomedical Engineering." 23 4 2014. http://www.annualreviews.org. Document. 22 1 2017.
Bhardwaj, Achal. "Optical Properties of Nanoparticles." (2016): 224.
Lin-Wang, Li J. and Wang. "Band-structure-corrected and density approximation." International Science Congress Association (2005): Phys.Rew. B, 72. Documnet.
Manna, Scher and Alivisats. "Cdse nanocrystals." Cluster Sci 13 (2002): 521. paper.
nanocomposix. http://nanocomposix.com. 12 2 2014. electronic. 23 2 2017.
S. J. Oldenburg, R. D. Averitt, S. L. Westcott, N. J. Halas. " Chem. Phys. Lett. 288." (1998): 288, 243.
Sir Jhon Pendry imperial College of London. Physics World (2000). Lecture.
Stokes, Damon A. Smith and Kevin L. "Discrete dipole approximation for magnetooptical." Dept. of Physics and Advanced Materials Research Institute, University of New Orleans, New Orleans, (2006). Documnet.
Sun, Qiang Fu and Wenbo. "Mie theory for light scattering by a spherical particle in an absorbing medium." Applied Optics Vol. 40, Issue 9 (2001): 1354-1361. Paper.
The Physics Classroom. he Physics Classroom. 3 January 1996-2016. Document. 27 2 2017.
Zhang, Jin Zhong. "Optical Properties and Spectroscopy of Nanomaterials." World Scientific, Singapore, 2009. (2009). Documnet.
Zhao, Jing et al. "Resonance Localized Surface Plasmon Spectroscopy." J. Phys. Chem. 112: (2008): 58:267–97. Document.
What we have learned
In this study, we have learned that nanoparticles are used in a variety of applications and their usage is growing vastly because of their superior’s characteristics among these properties optical properties play a vital role in various applications and with further research became familiar with the core principles with control the behavior of these nanoparticles under different circumstances. The optical properties of nanoparticles are highly dependent on the particle size, shape, chemical composition, and the local dielectric environment. We got valuable insight of how the behavior of the material changes when it is in its nano state as compared to its bulk form and the influence of the surface Plasmon’s in deciding their properties. The use of high extinction coefficient of quantum dots and its role in deciding the optical properties of nanoparticles is an important factor in nanotechnology. The case of enchantment of optical properties of nanoparticles e.g. luminescence by using shell core arrangements provides us with valuable insight which helps us in varying the properties of these nano particles to suit our situations and demands. This research also provides us information about the effect of size and shape of the particle and dielectric properties of the medium as the surface Plasmon’s are excited by incident electromagnetic radiation. This paper gives us some of the prominent methods used for calculation of optical properties of Nano particles regarding the problem of light scattering by homogeneous spherical particles of any size in the light of Mie theory which is further used to calculate the model for tissue optical properties followed by an example for shows us how to calculate angular scattering pattern which includes the calculation of scattering cross section and coefficient. As we go towards particle that are much larger than the wavelength of the incident light source we discuss discrete dipole approximation for simulation of light scattering by particles much larger than the wavelength. A near-field calculation of light electric field intensity inside and in the vicinity of a scattering particle is discussed in the discrete dipole approximation. A fast algorithm is presented for gridded data. This algorithm is based on one matrix times vector multiplication performed with the three-dimensional fast Fourier transform. The approximation is used as a finite-element method for non-spherical particles whose dimensions are on the order of or smaller than the incident light wavelength, λ. Also, we use the approximation to calculate scattering from arrangements of spherical nanoparticles with diameters ≪λ. We propose that for scattering from subwavelength magnetic particles, the specific Faraday rotation should be defined as the difference in optical extinction for left- and right-circularly polarized light. We apply the model to calculations of Faraday rotation from magnetite nanowires as well as a binary (two-component) nanoparticle arrangement. Enhancements in Faraday rotation are predicted for composites containing both noble metal and ferrite nanoparticles. These theoretical methods have vast applications and are used for medical or bioimaging purposes enhancement of optical properties, light-emitting devices, nonlinear optics, biological labeling, improving the efficiency of either solar cells or the storage capacity of electronics devices
Optical Properties of Nano particles and their Calculations