Module 07 Assignment - Problems
G180 Module 07 Assignment
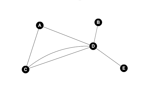
Give the vertex set V.
Give the Edge set E.
Consider the graph with V = [A, B, C, X, Y, Z] and E = [AB, AY, AZ, BB, CX, CY, CZ, CZ].
List all the vertices adjacent to A.
List all the edges adjacent to AY.
Find the degree of C.
Find the sum of the degrees of the vertices.
Find a path of length 4 from F to A.
List all the paths from D to A.
Find all circuits of length 2.

